AWG to mm² Conversion Guide: Wire Sizes for Global Use

AWG to MM2

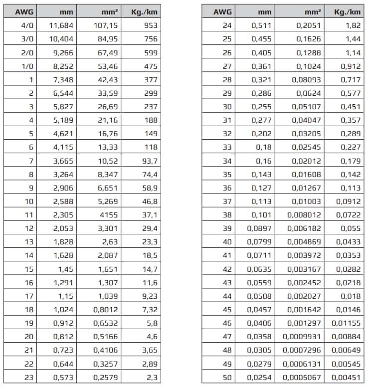
In electrical engineering, choosing the correct conductor size is essential. Namun, different regions use different measurement systems. About AWG to mm², In North America, professionals use AWG (Pengukur Kawat Amerika). Sebaliknya, most international markets rely on square millimeters (mm²). Sebagai akibat, engineers, tukang listrik, and buyers often need a reliable way to convert betweenBaca selengkapnya

Apa Itu Kabel Bawah Laut?

Kabel Bawah Laut

Kabel bawah laut adalah infrastruktur tersembunyi di balik internet, komunikasi global, dan sistem energi lepas pantai. Panduan ini menjelaskan dengan jelas apa itu kabel bawah laut, bagaimana mereka bekerja, dan mengapa hal tersebut penting di dunia saat ini. ⚡ Quick Answer A submarine cable is a specially designed cable laid on the seabed to transmit electric power or dataBaca selengkapnya

Apa 4 Kabel AWG? – Produsen Kabel

Kabel ABC 2AWG

Memahami 4 Kabel AWG A 4 Kabel AWG adalah ukuran konduktor standar yang ditentukan oleh American Wire Gauge (AWG) sistem. Ini banyak digunakan dalam sistem kelistrikan karena keseimbangan antara konduktivitas, kekuatan mekanik, dan fleksibilitas pemasangan. Parameter kunci dari 4 kabel AWG: This size is commonly applied in both low voltage andBaca selengkapnya

2000transformator kVA : Panduan Lengkap, Harga, Spesifikasi

Transformator

Trafo 2000kVA merupakan salah satu trafo daya yang paling banyak digunakan pada sistem distribusi tenaga listrik skala menengah hingga besar.. Ini memberikan kinerja yang andal, efisiensi tinggi, dan fleksibilitas untuk industri, komersial, dan proyek infrastruktur. If you are looking for a durable and cost-effective solution, this guide will help you understand everything about the 2000kVA transformer, termasuk … Baca selengkapnya

Konduktor ACFR – Produsen Kabel

Konduktor ACCC

Dalam sistem transmisi tenaga modern, tuntutan efisiensi yang lebih tinggi, peningkatan kapasitas, dan peningkatan keandalan terus berkembang. Konduktor tradisional seperti ACSR (Baja konduktor aluminium diperkuat) telah melayani industri dengan baik selama beberapa dekade, namun dengan meningkatnya konsumsi energi dan perluasan jaringan energi terbarukan, diperlukan solusi yang lebih maju. One of the mostBaca selengkapnya

Apa Perbedaan Antara Kabel OPGW dan ADSS?

Kabel OPGW

Dalam sistem transmisi tenaga modern, fiber optic cables do much more than carry data. They also support grid monitoring, protection, and communication. Among all aerial fiber solutions, OPGW and ADSS stand out as the most widely used options. Although both cables transmit optical signals, their design philosophy is completely different. Sebagai akibat, insinyur memilih … Baca selengkapnya

230kV Cable Outdoor Termination – Kit Manufacturer in China

Cable Outdoor Termination Accessories

High-voltage transmission systems rely on safe and reliable cable connections, especially at 230kV levels. Outdoor terminations serve as the interface between a high-voltage cable and external equipment, such as transformers, switchgear, or overhead lines. Unlike indoor terminations, outdoor kits are exposed to weather, UV radiation, and pollution, making design, bahan, and installation quality critical forBaca selengkapnya

Apa itu Kabel OPGW? Produsen OPGW di Cina

Kabel OPGW

Dalam sistem transmisi tenaga modern, efisiensi tidak lagi hanya bergantung pada perpindahan listrik dari satu titik ke titik lainnya. Jaringan listrik saat ini juga harus membawa informasi—dengan cepat, secara akurat, dan terus menerus. Pergeseran ini telah mengubah peranan komponen-komponen tertentu pada saluran udara Kabel OPGW , terutama kabel yang dipasang di bagian paling atas menara transmisi. Kawat itu, … Baca selengkapnya